• Предмет: Математика
  • Автор: Violetsoul
  • Вопрос задан 3 года назад

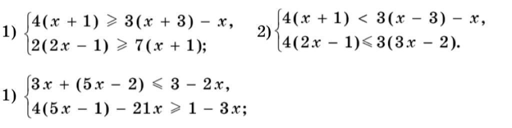
Решите пожалуйста срочно системы уравнений

Приложения:

Ответы

Ответ дал: polinaalexeenko
1

Ответ:1)x∈∅

2)x∈∅

1)x∈∅

везде вроде ответы одинаковы


Violetsoul: А можно пожалуйста решение
polinaalexeenko: я могу посоветовать тебе установить photomath, там все шаги подробно расписаны, а то я тороплюсь, не успею полость рассказать решение
Violetsoul: Спасибо
Вас заинтересует