• Предмет: Математика
  • Автор: ChelodoyMolodec
  • Вопрос задан 3 года назад

Сума двох кутів, суміжних з кутом В, дорівнює 80°. Знайти кут В.​

Ответы

Ответ дал: Alyssa08
2

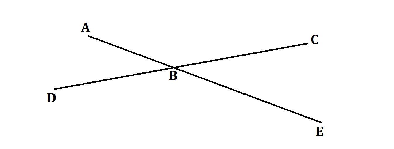
Ответ:

140°

Пошаговое объяснение:

Пусть ∠B (из условия) = ∠ABC

Тогда смежные с ним углы - ∠ABD и ∠CBE

  • Сумма смежных углов равна 180°

∠ABC + ∠ABD = 180°, ∠ABC + ∠CBE = 180°

⇒ ∠ABD = 180° - ∠ABC и ∠CBE = 180° - ∠ABC

∠ABD = ∠CBE

∠ABD + ∠CBE = 80°, по условию ⇒ ∠ABD = ∠CBE = 80° : 2 = 40°

⇒ ∠ABC = 180° - ∠ABD = 180° - ∠CBE = 180° - 40° = 140°

Приложения:
Ответ дал: pavlogurega510
1

∠B = ∠ABC

Тоді суміжні з ним кути - ∠ABD та ∠CBE

Сума суміжних кутів дорівнює 180 °

1)∠ABC + ∠ABD = 180°, ∠ABC + ∠CBE = 180°

2)∠ABD = 180° - ∠ABC та ∠CBE = 180° - ∠ABC

3) ∠ABD = ∠CBE

4)∠ABD + ∠CBE = 80°, за умовою ⇒ ∠ABD = ∠CBE = 80° : 2 = 40°

5)∠ABC = 180° - ∠ABD = 180° - ∠CBE = 180° - 40° = 140°

Вас заинтересует