• Предмет: Алгебра
  • Автор: Аноним
  • Вопрос задан 3 года назад

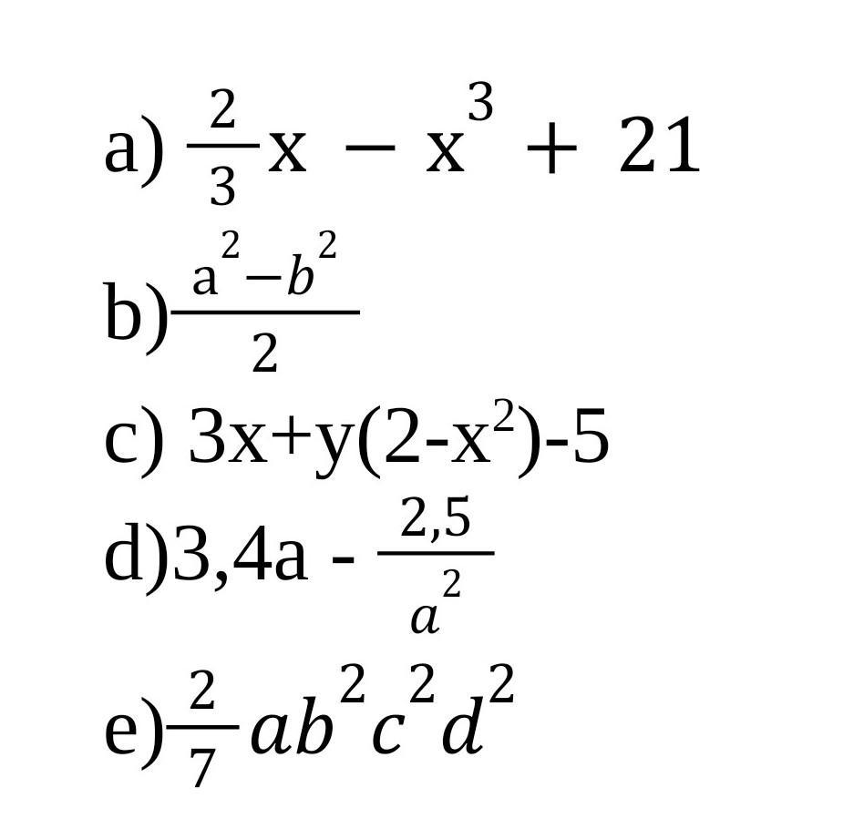
какие вырожения являются целыми? ​

Приложения:

Ответы

Ответ дал: doodppd
2
а,с
.................
Вас заинтересует