• Предмет: Математика
  • Автор: tgh7tsvniutrfjjnb
  • Вопрос задан 3 года назад

ПОМОГИТЕ СДЕЛАТЬ! ДАМ ВСЕ БАЛЛЫ!​

Приложения:

Ответы

Ответ дал: Nastya13468
1

Ответ:

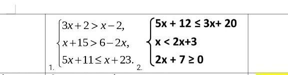
1.хє(-2,3 ]    2.хє(-3,4 ]

Пошаговое объяснение:

Вас заинтересует