• Предмет: Алгебра
  • Автор: opaganosta
  • Вопрос задан 3 года назад

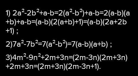
Разложите на множители, пожалуйста все полностью!​

Приложения:

Ответы

Ответ дал: Аноним
3

ответ на фото................

Приложения:
Вас заинтересует