• Предмет: Алгебра
  • Автор: Аноним
  • Вопрос задан 3 года назад

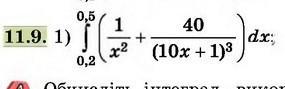
Обчислити інтеграл
Помогите пожалуйста,заранее спасибо.​

Приложения:

Ответы

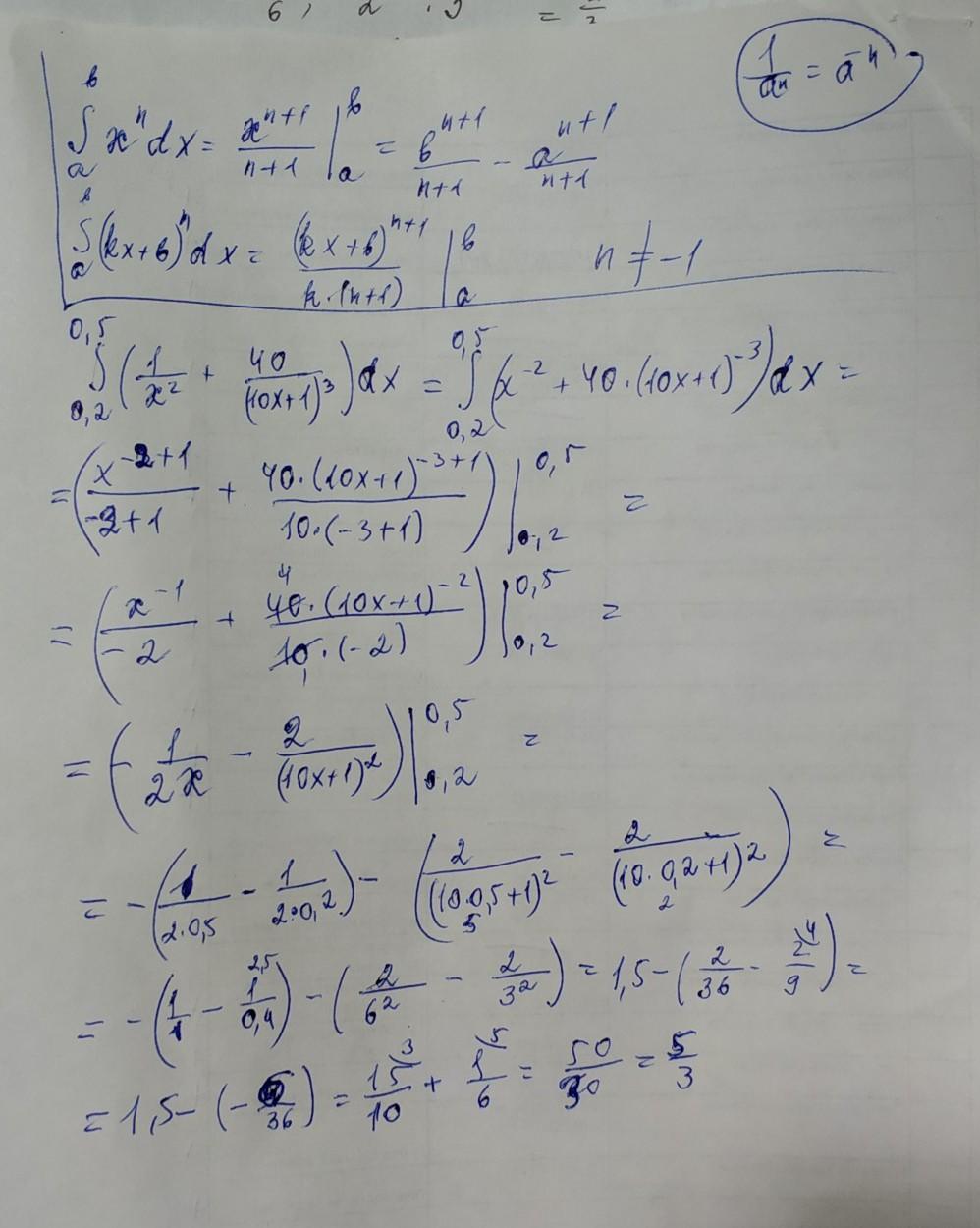
Ответ дал: kirichekov
1

Ответ:

=5/3

Объяснение:

решение во вложении

Приложения:

Аноним: Спасибо,вот только я проверила ответ.Там должно было получится 19/6
kirichekov: проверила, правильно.
Аноним: Ладно,спасибо)
Вас заинтересует