Ответы
                                            Ответ дал: 
                                                                                            
                                                    
                                                
                                                                                    
                                        
                                            
                                                
                                                
                                                
                                                    1
                                                
                                            
                                        
                                    Ответ:
отв на фото
Ответ Д
Объяснение:
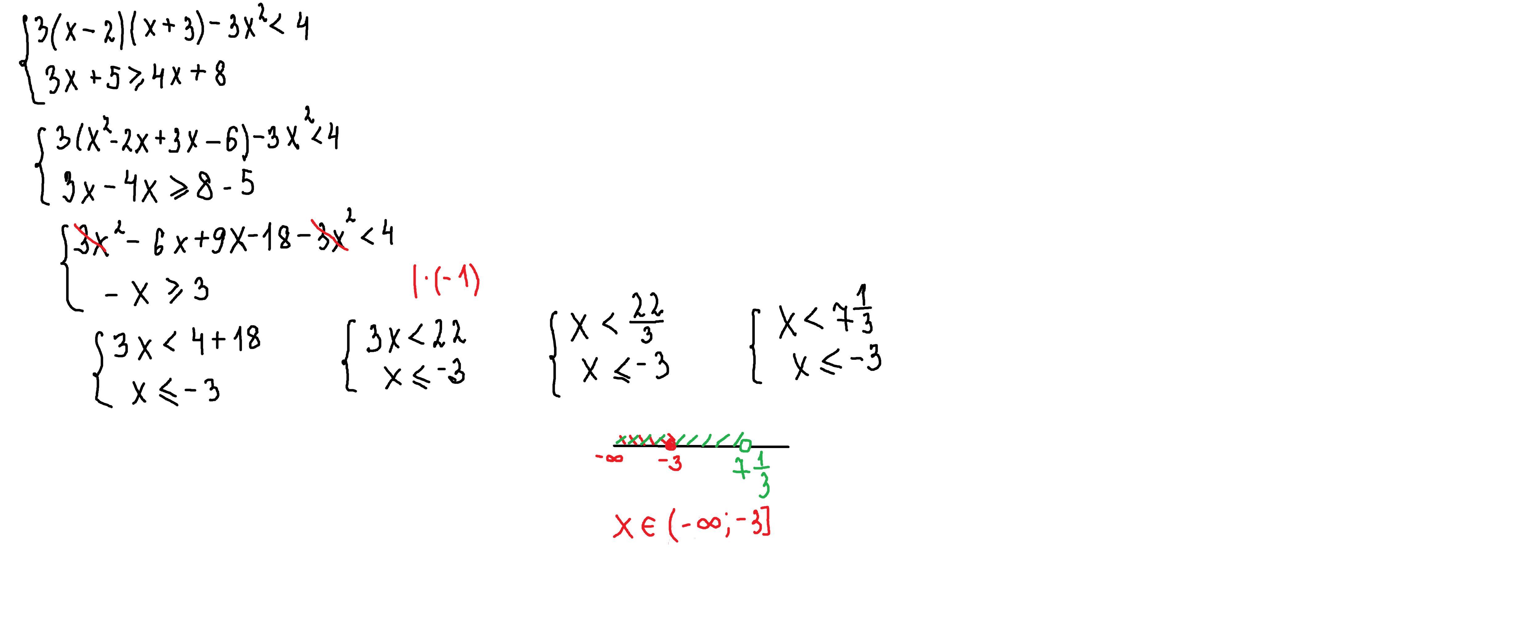
Приложения:
                     
                            
                    Timur527:
                    слушаю
                
            
                    
                    я сейчас сделаю один вопрос
                
            
                    
                    надо корень трапеции найти
                
            
                    
                    там тоже по 50 баллов
                
            
                    
                    ну кинь:)
                
            
                    
                    уже не надо прости
                
            
                    
                    ты в каком классе учишься
                
            
                    
                    я вот в 8
                
            
                    
                    в девятом
                
            
                    
                    3х-4х= - х   ,тогда во  втором неравенстве  другой ответ.
                
            
                                            Ответ дал: 
                                                                                    
                                        
                                            
                                                
                                                
                                                
                                                    0
                                                
                                            
                                        
                                    Ответ:
мой ответ не совпадает ни с одним из данных
Объяснение:
Приложения:
                     
                            Вас заинтересует
                
                        2 года назад
                    
                
                        2 года назад
                    
                
                        2 года назад
                    
                
                        8 лет назад
                    
                
                        9 лет назад
                    
                