• Предмет: Геометрия
  • Автор: anonummm
  • Вопрос задан 3 года назад

Помогите пожалуйста!! нужно найти AB- гипотенузу. пожалуйста, распишите ещё в решение всё полностью!

Приложения:

Ответы

Ответ дал: saidamammadova1973
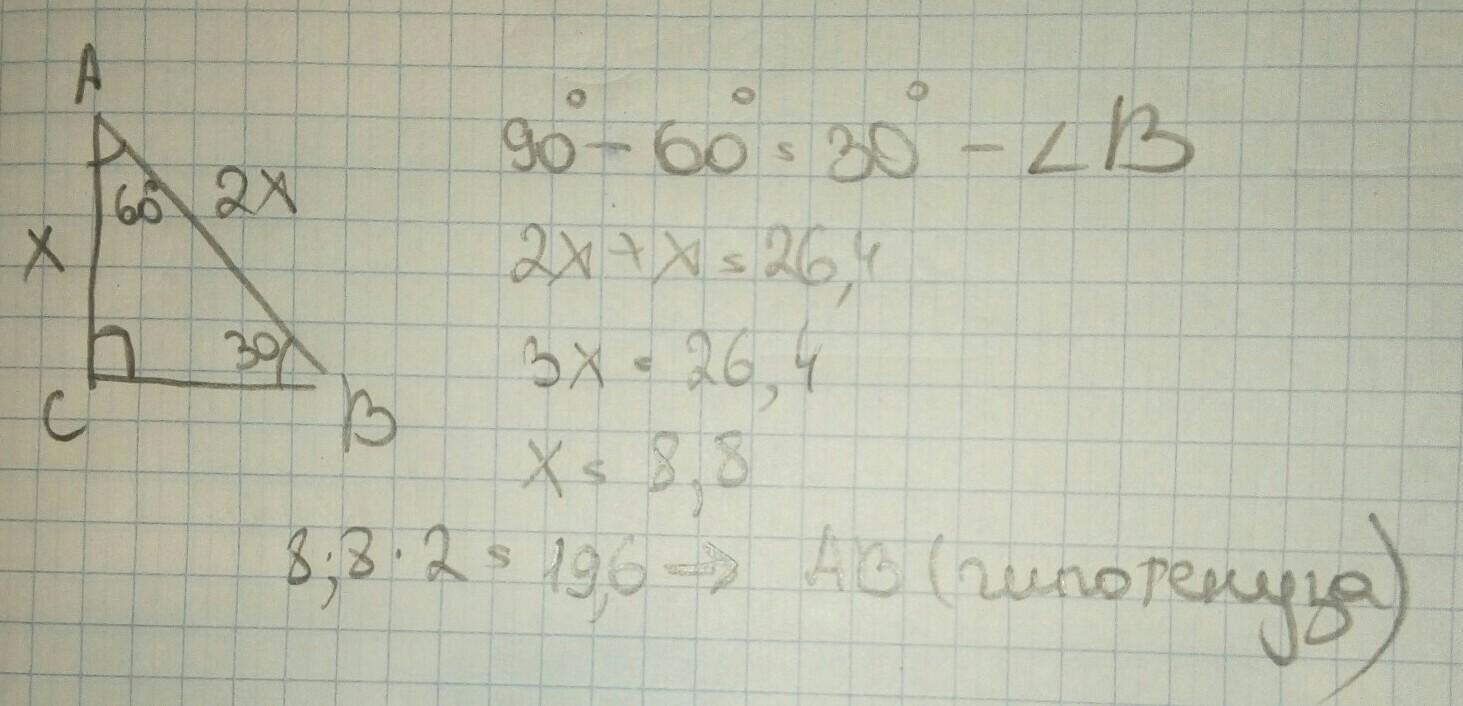
1

Попыталась все подробно написать

Приложения:
Ответ дал: upgrowth
1

Ответ:AB=17,6(см)

Объяснение:

ΔABC

∠B=90-∠A=90-69=30°(Так как сумма двух острых углов прямоугольного треугольника равна 90º)

AC=AB(Так как катет прямоугольного треугольника, лежащий против угла в 30°, равен половине гипотенузы)

Пусть AC=x(см),AB=2x(см).Зная что сумма AC и AB=26,4 см,составляем уравнение:

2x+x=26,4

3x=26,4

x=26,4/3

x=8,8

Значит AC=8,8(см), а AB=2*8,8=17,6(см)

Вас заинтересует