Помогите 6 класс(
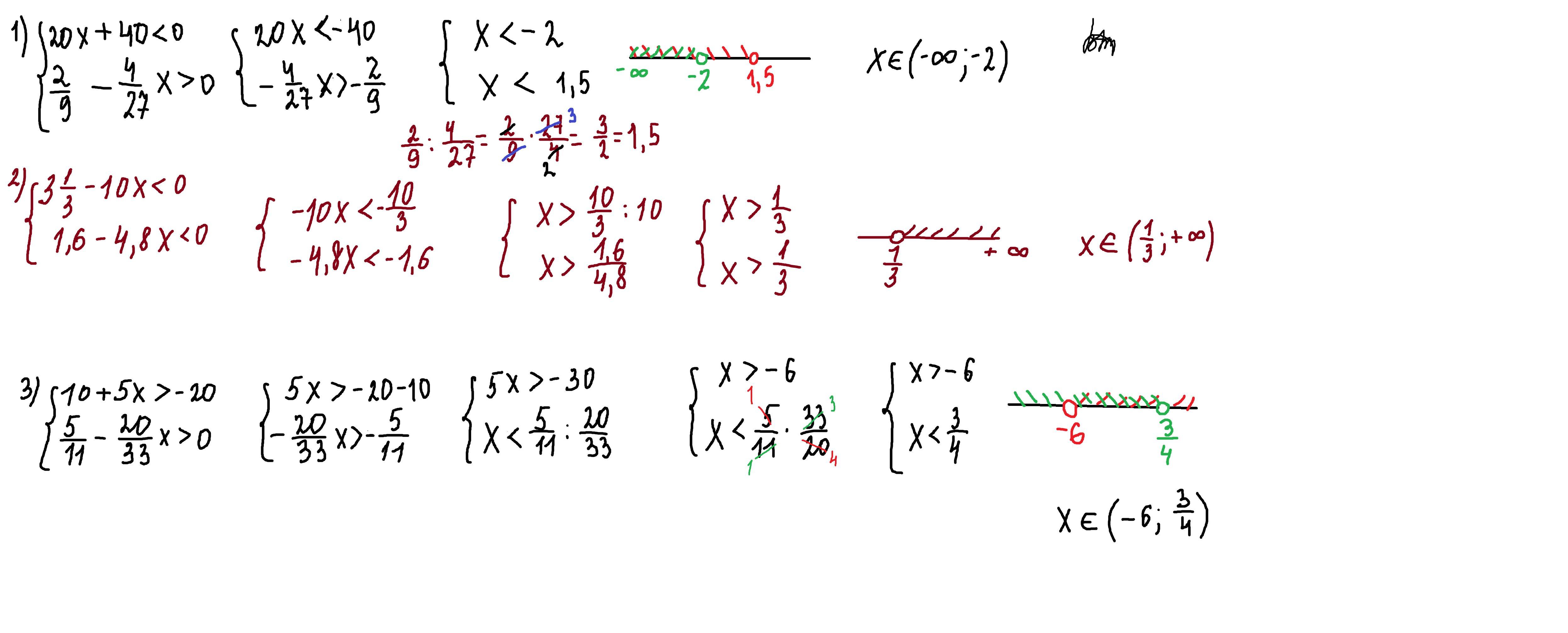
1)
{ 20х + 40 < 0,
{ 2/9 - 4/27 > 0;
2)
{ 3 1/3 - 10х < 0,
{ 2/9 - 4/27х > 0;
3)
{ 10+ 5х -20,
{ 5/11 - 20/33х > 0.
Ответы
Ответ дал:
3
Ответ:
решение внизу
Объяснение:
Приложения:

Аноним:
СПАСИБО БОЛЬШОЕ!!!!
Вас заинтересует
2 года назад
2 года назад
2 года назад
2 года назад