• Предмет: Алгебра
  • Автор: gunderakh
  • Вопрос задан 3 года назад

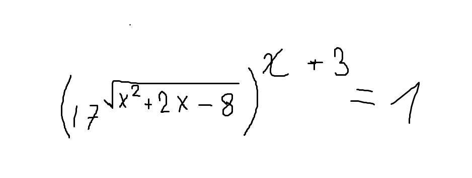
Помогите решить пример по алгебре (см. приложение). 10 класс

Приложения:

Ответы

Ответ дал: azamatwppw
1

Ответ:

ответы указал на фото

Объяснение:

я не подставлял варианты, так как у меня в тетрадь не поместилось бы и было бы долго.

Приложения:
Вас заинтересует