• Предмет: Алгебра
  • Автор: krekq76
  • Вопрос задан 3 года назад

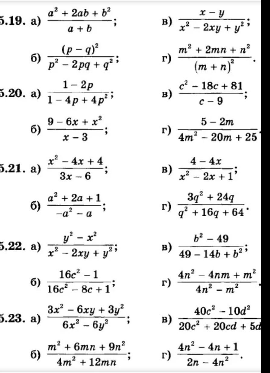
Помогите пожалуйста, срочно нужно... ​

Приложения:

tanyshka529: Всё решать?
krekq76: желательно

Ответы

Ответ дал: keized
1

Ответ:

ответ на фото

Объяснение:

извините за помарки, торопилась

Приложения:

krekq76: спасибо
Вас заинтересует