• Предмет: Математика
  • Автор: Аноним
  • Вопрос задан 3 года назад

помогите срочно решить пожалуйста даю 50 балов ​

Приложения:

Ответы

Ответ дал: kuzievsultan133
1

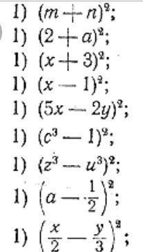
Нужно воспользоваться ФСУ (формулой сокращённое умножения): (a+b)²=a²+2ab+b² и (a-b)²=a²-2ab+b²

1)m²+2mn+n²

2)4+4a+a²

3)x²+6x+x²

4)x²-2x+1

5)25x²-20xy+4y²

6)c⁶-2c³+1

7)z⁶-2z³u³+u⁶

8)a²-a+1/4

9)x²/4-xy/3+y²/9


Аноним: спасибо
Вас заинтересует