• Предмет: Алгебра
  • Автор: alllkm
  • Вопрос задан 3 года назад

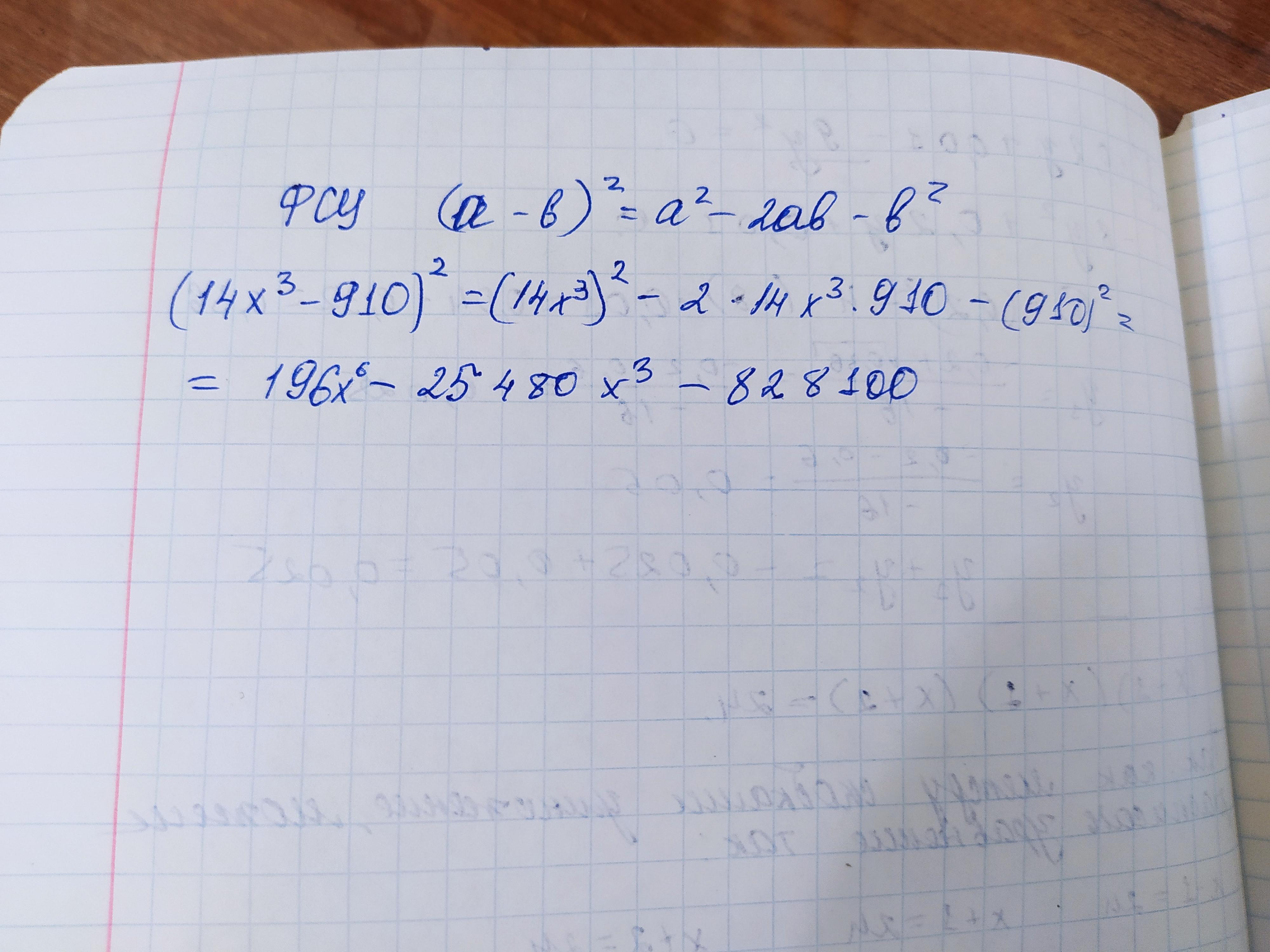
Представь квадрат двучлена в виде многочлена:

(14x3−910)2.

 

(Переменную вводи с помощью латинской раскладки, дроби сократи!) 

Ответы

Ответ дал: ritamaga
0

Ответ:

На фото

Объяснение:

Должно быть верно, если я правильно поняла задание

Приложения:

maloypubger: нееет там по другому ща
Вас заинтересует