• Предмет: Математика
  • Автор: Аноним
  • Вопрос задан 3 года назад

помогите пожалуйста решить срочно даю 50 балов ​

Приложения:

ildar502020: Какое задание??? Всегда записывайте "Что надо сделать..."

Ответы

Ответ дал: Palka31
0

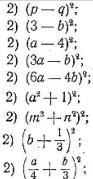
Ответ:

1)р2-2рq + q2

2)9-6b+ b2

3)a2-8a+16

4)3a2-6ab+b2

5)36b2-48ab+16b2

6)a4 +2a2+1

7)m6+2m3n2+n4

8)b2+2/3b+ 1/9

9)a2/16+2ab/12+b2/9

Цифры ,которые стоят после буквы это степень ,а перед это количество

/- это деление


Аноним: спасибо большое
Вас заинтересует