Ответы
Ответ дал:
0
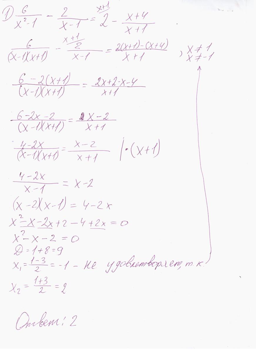
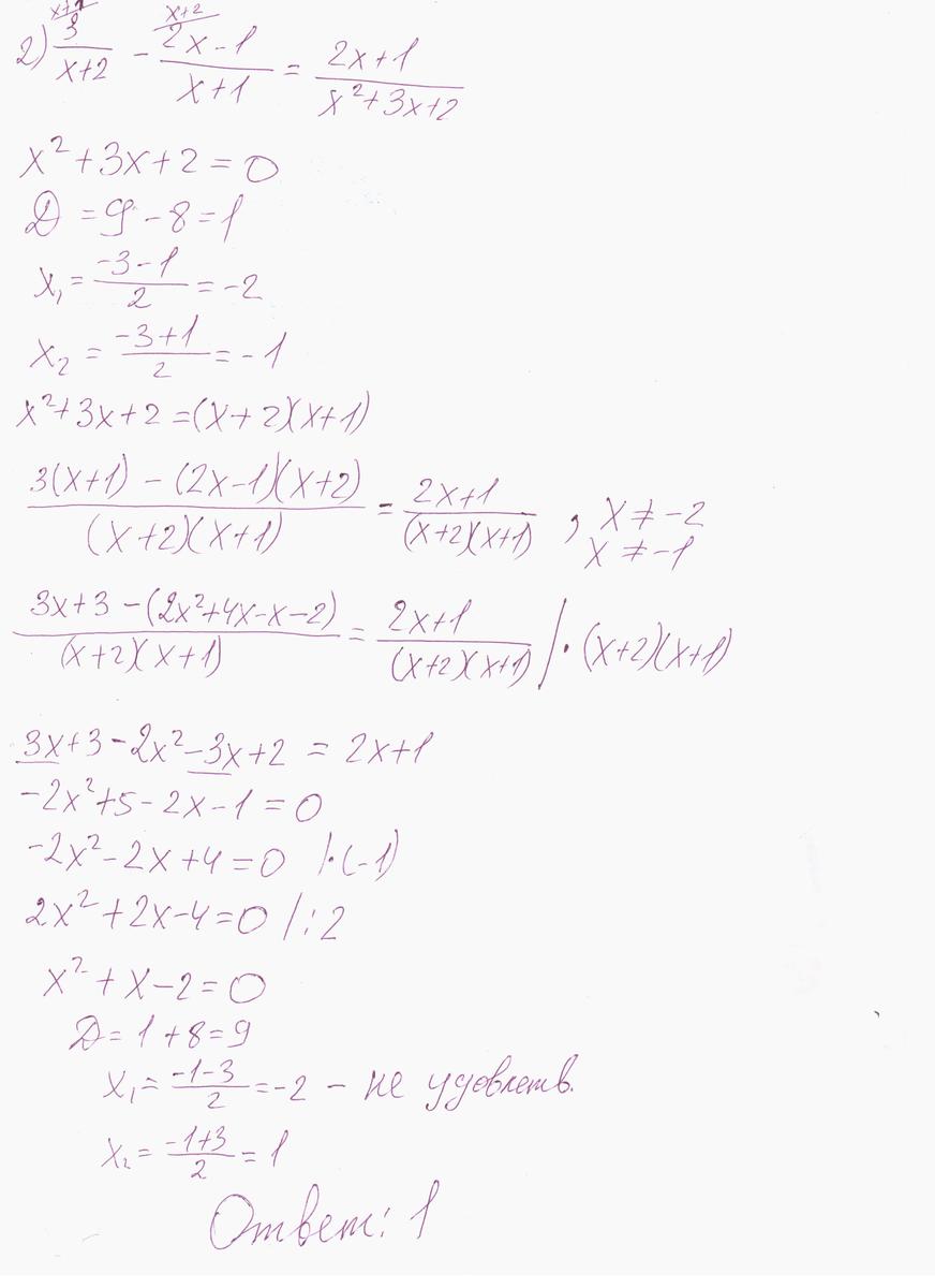
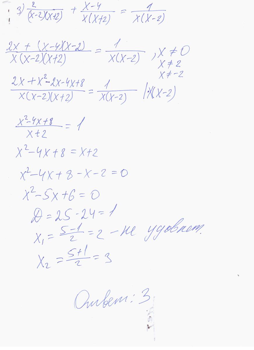
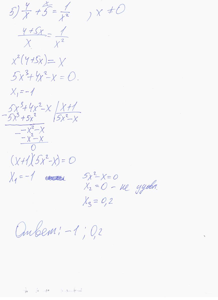
Вот,я всё подробно расписала.
Всё должно быть правильно
последнее добавить не смогла,так как больше 5 фото не добавляет
но ссылку я тебе скину в личку
Всё должно быть правильно
последнее добавить не смогла,так как больше 5 фото не добавляет
но ссылку я тебе скину в личку
Приложения:





Вас заинтересует
2 года назад
8 лет назад
10 лет назад
10 лет назад
10 лет назад
10 лет назад