• Предмет: Алгебра
  • Автор: Lia698
  • Вопрос задан 3 года назад

люди добрые помогите

Приложения:

inkarmatzan: какой класс
inkarmatzan: какой предмет
Lia698: матеша
Lia698: 9 класс
inkarmatzan: nursabaq kz
inkarmatzan: там ест все ответы
inkarmatzan: онлайн шеолы
inkarmatzan: школы
inkarmatzan: выбираеш свой класс предмет

Ответы

Ответ дал: furmansergii79
0

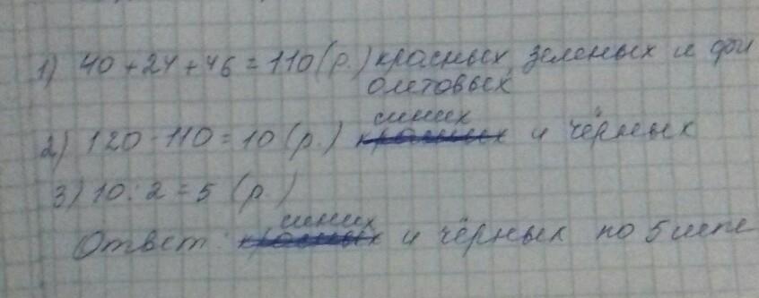
Объяснение:

извини что начёркал,перепутал малёха

Приложения:

Lia698: ничего, а какой в итоге ответ?
Ответ дал: AlyaksandrK
1

Ответ: 0,375

Объяснение:

120-40-24-46=10;\\\frac{10}{2} =5.

Черных 5 ручек, красных 40, в сумме их 40+5=45

Тогда вероятность \frac{45}{120}= 0,375


Lia698: спасибо вам, добрый человек
Lia698: прошу гляньте, я еще одно задание выложила
Вас заинтересует