• Предмет: Химия
  • Автор: gainullin100
  • Вопрос задан 11 лет назад

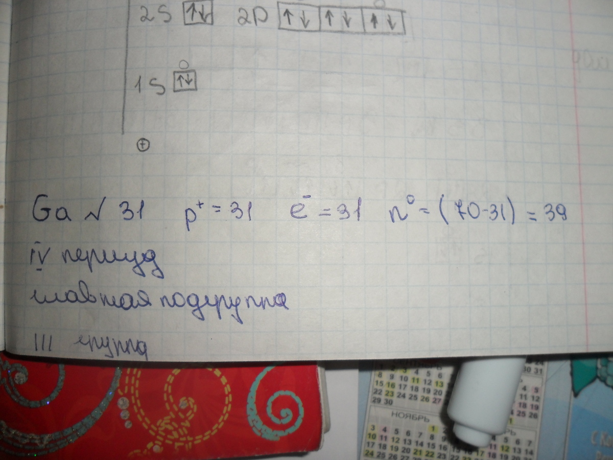
Электронно графическая схема строения атома Галлия
КАК ЗДЕЛАТЬ НЕЗНАЮ ПОДСКАЖИТЕ ПОЖАЛУСТА СРОЧНО 

Ответы

Ответ дал: тайная
0
Ga +31  )   )    )   )
             2  8 18   3
1s2 2s2 2p6 3s2 3p6 4s2 3d10 4p1
Ответ дал: richinatatyana
0
Полное строение атома 

Приложения:
Вас заинтересует