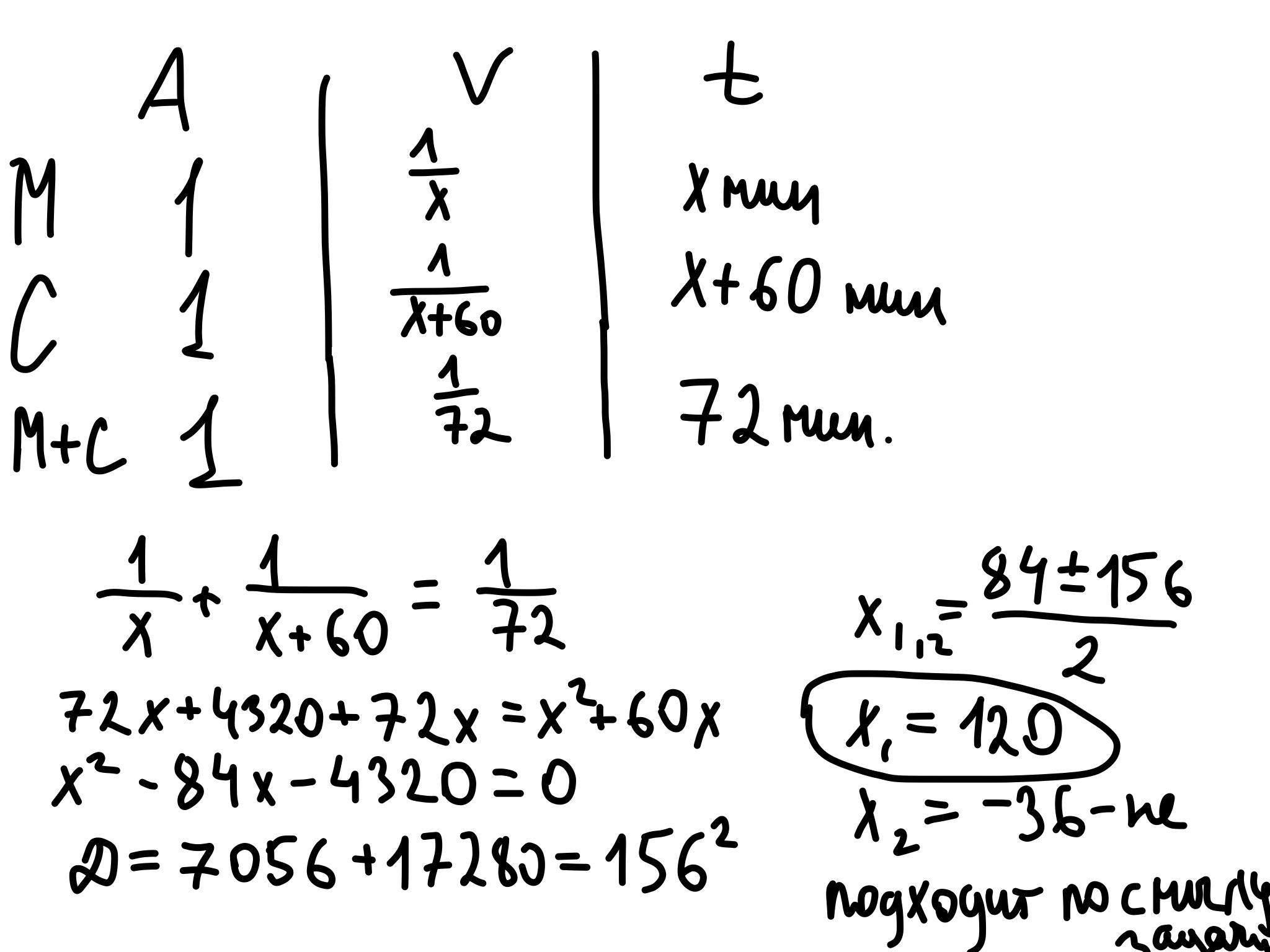
Марина Георгиевна и Сергей Александрович, принимая вместе зачет по геометрии в 8 классе, могут справиться с этой работой за 1 час 12 минут. Марина Георгиевна, принимая зачет одна затратит на это на час меньше,чем один Сергей Александрович. За какое время примет зачет одна Марина Георгиевна?
Ответы
Ответ дал:
0
Ответ: 2 часа.
Объяснение: 120 минут или 2 часа.
Приложения:

Вас заинтересует
2 года назад
2 года назад
8 лет назад
8 лет назад
9 лет назад