Ответы
Ответ дал:
0
Ответ:
Пошаговое объяснение:
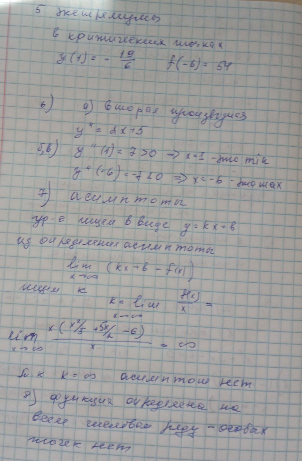
на фото
Приложения:



Вас заинтересует
2 года назад
2 года назад
8 лет назад
8 лет назад
9 лет назад
9 лет назад