• Предмет: Математика
  • Автор: saltanatmurzakanova6
  • Вопрос задан 3 года назад

быстрее пожалуйста дам 10 балов ​

Приложения:

saltanatmurzakanova6: пампами

Ответы

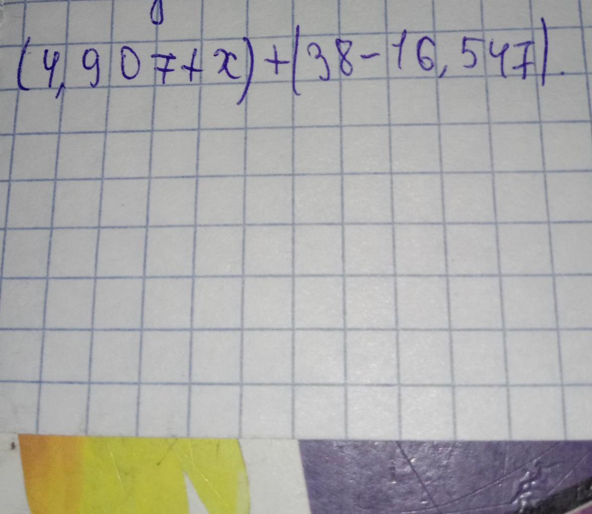
Ответ дал: natasha87719
0

Ответ:

(4,907+х)+(38-16,547)

4,907+х+(38-16,547)

4,907+х+21,453

26,36+х

Пошаговое объяснение:

ответ 26,36+х

Проверено.

Вас заинтересует