• Предмет: Физика
  • Автор: slavabenzo08
  • Вопрос задан 3 года назад

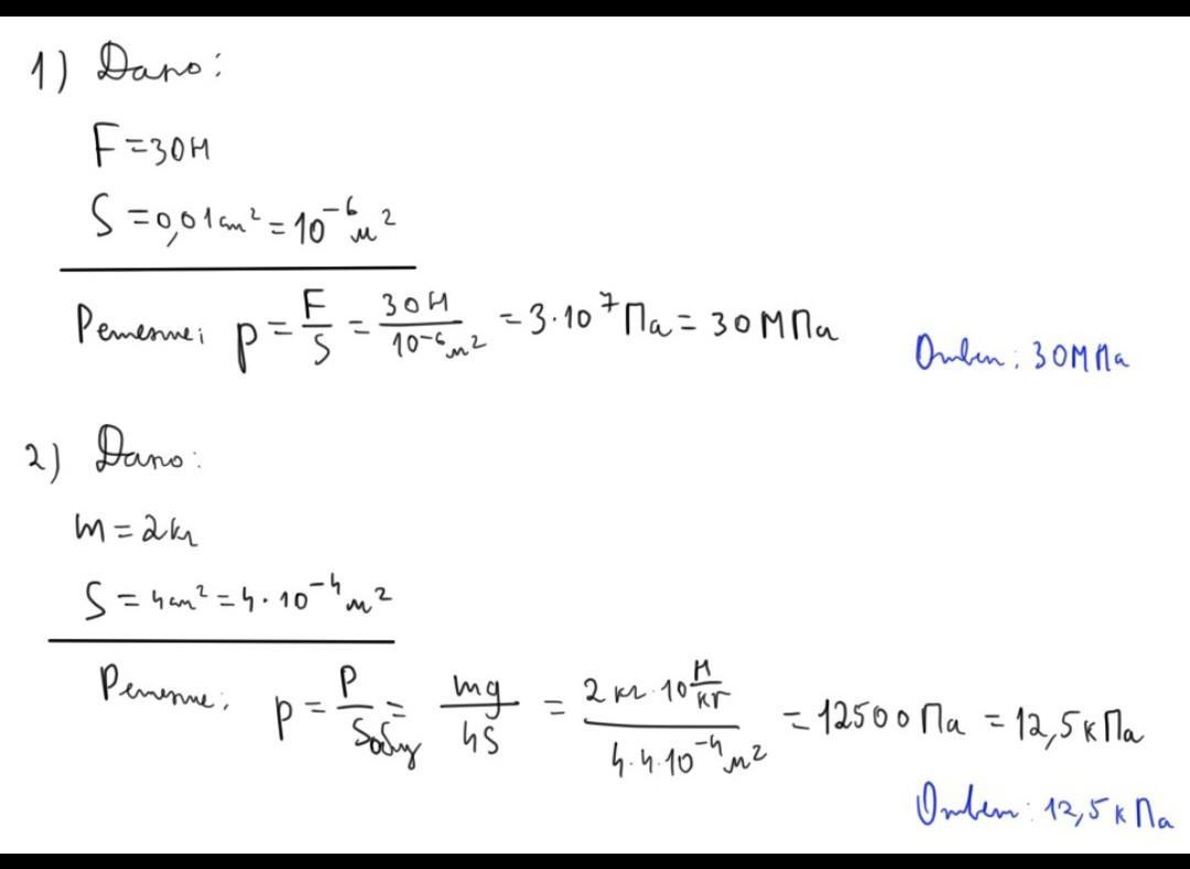
1. Человек вбивает гвоздь в стенку, ударяя по нему молотком с силой 30 Н.
Какое давление производит гвоздь при ударе, если площадь его острия 0,01
см?
2. Керосин оказывает давление 1600 Па на дно бака. Какова высота керосина
в баке?
3. Каково показание барометра на уровне высоты Останкинской телебашни
(540 м), если внизу башни атмосферное давление 760 мм рт. ст.?
4. Какова сила давления на каждый квадратный сантиметр поверхности тела
водолаза, находящегося на глубине 50 м?
5. Определите давление, оказываемое на грунт гранитной плитой объемом
10 м, если площадь ее основания равна 4 м.
6. Гидростат глубинной бомбы установлен на давление 2 МПа. На какой
глубине взорвется эта бомба?
7. В цилиндрический сосуд высотой 20 см налиты керосин и вода.
Определите давление, которое оказывают жидкости на дно сосуда, если их
объемы равны.
8. Манометр, установленный на подводной лодке для измерения давления
воды, показывает 250 Н/см. Какова глубина погружения лодки? С какой
силой давит вода на крышку люка площадью 0,45 ме?
9. Кирпичная стена производит на фундамент давление 40 кПа. Какова ее
высота?

Ответы

Ответ дал: xnbxh57bbx
6

Ответ:

вот ответ

Объяснение:

Не за что..........

Приложения:
Ответ дал: MinaYoo
3

Ответ:

1 p= F S= 30 H 0,000001 м^2= 30 000 000 Па

2 ρ*g*h

h = p / ρ*g = 1600 Па / 800 кг/м3 * 10 Н/кг = 0.2

3  Po =760мм рт ст    h=540 м    p=1,29 кг/м -  плотность  воздуха

Po = P1 +p*g*h

P1=Po - p*g*h=101300 - 1,29*9,8*540=94473 Па=708, 7 Па

2) способ (менее точный)

при подъеме на 11 м давление уменьшается на 1 мм рт ст

540/11=49 мм рт ст

P =760 -49=711 мм рт ст

4 дм кубический (это 10х10=100см куб.) давит на квадратный сантиметр с силой в один кг., а у Вас столб в 50 м (100см*50м=5000см в 50метрах). И вот мы получаем что каждые 100см кубических из наших 5000см (50м по условию) будут давать по 1кг давления на 1см кв. (т.к. один литр воды весит 1 кг. это можно сказать справочные данные вычисляемые через плотность в-ва).  

И так:  

5000см куб/100см куб=50кг. на см квадратный

5 Дано:

V=10м3

S=4м2

р=2700 кг/м3

Найти:р=?

Решение:

m=pV  

m=2700*10=27000кг

F=mg,g=9,8Н/кг

F=27000*10=270000Н

p=F/S

p=270000/4=67500Па  

6 Дано:

p= 2 мПа по СИ равен 2000000Па

p= 1030 кг/м3

g= 10 н/кг

h-?

решение:

h=p:p:h

h=2000000Па:1030 кг/м3:10н/кг=194.17м

ответ: h=194.17м

7 нез

8 P = 250 Н/см^2 = 250000 Н/м^2 = 250000 Па.

S = 0,45 м^2.

ρ = 1000 кг/м^3.

g = 9,8 м/с^2.

h - ?

F - ?

Гидростатическое давление на лодку воды определяется формулой: P = ρ * g * h. Где ρ - плотность воды, g - ускорение свободного падения, h - высота воды над лодкой.

h = P / ρ * g.

h = 250000 Па / 1000 кг/м^3 * 9,8 м/с^2 = 25,5 м.

Давлением Р называется отношение силы F к площади S, на которую эта сила действует.

P = F / S.

F = P * S.

F = 250000 Па *0,45 м^2 = 112500 Н.

Ответ: лодка находится на глубине h = 25,5 м, вода давит на крышку с силой F = 112500 Н

9 Дано: плотность1600кг\м в кубе давление=40кПа g=10Н\кг h-? СИ: 40кПа=40000Па Решение .h=давление разделить на p*g =40000\1600*10=40000\16000=2,5м

Надеюсь правлно

Вас заинтересует