• Предмет: Математика
  • Автор: samira2008samira09
  • Вопрос задан 3 года назад

ПОМОГИТЕ ПОЖАЛУЙСТА ​

Приложения:

Ответы

Ответ дал: Аноним
0

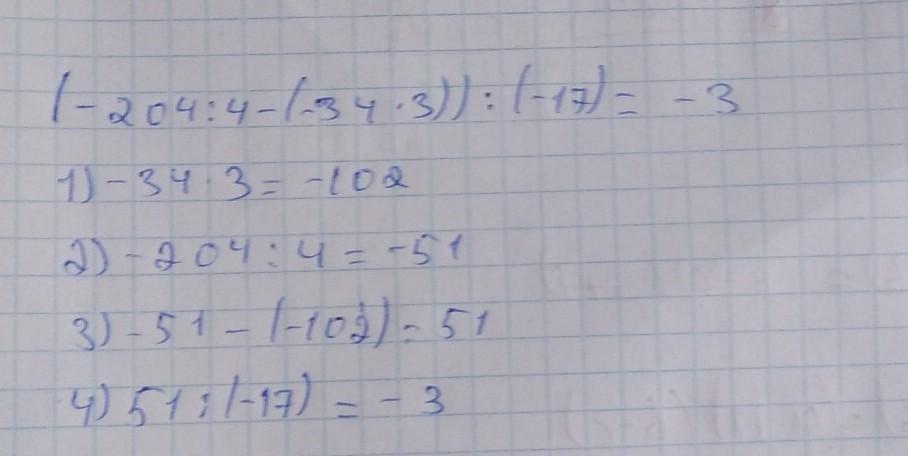
Ответ:

 - 3

^^^^^^^^^^^^

Приложения:
Ответ дал: muhinanasta95
0

66599877765466655555554

Вас заинтересует