Ответы
Ответ дал:
0
правильный ответ: 14,7
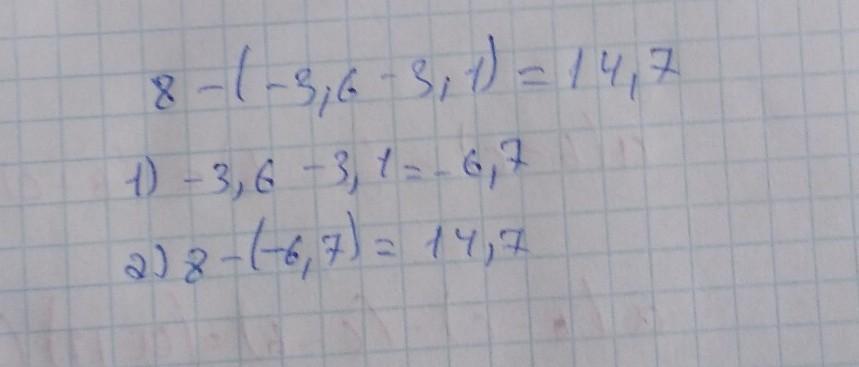
1) 8-(-6,7)
2)8+6,7=14,7
1) 8-(-6,7)
2)8+6,7=14,7
Ответ дал:
2
Ответ:
////////
Приложения:

Вас заинтересует
2 года назад
2 года назад
2 года назад
9 лет назад
9 лет назад