• Предмет: Алгебра
  • Автор: diliyaliil13
  • Вопрос задан 3 года назад

решите уравнение: 1/4-x*2=0​

Ответы

Ответ дал: hoiam
3

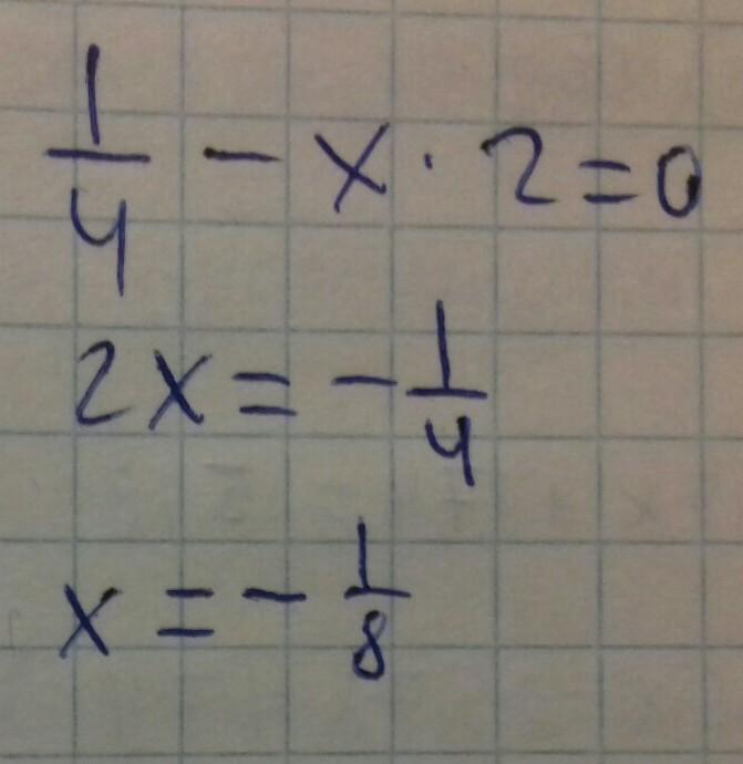
Ответ:

Ответ в фото

Объяснение:

Ответ в фото

Приложения:

ruslannamazbaev: вот так верно
ruslannamazbaev: а так кросс
diliyaliil13: кто первый ответил того сделать лучшим ответом?
ruslannamazbaev: да
ruslannamazbaev: но у него маленькая ошибка
diliyaliil13: а ты hoiam знаешь химию?
diliyaliil13: извини hoiam но ruslannamazbaev написал правильно, и также много написал как бы потрудился из- за этого я делаю 2- ответа лучшим
diliyaliil13: =)
ruslannamazbaev: лучше его.
ruslannamazbaev: спасибо ...
Ответ дал: ruslannamazbaev
3

Ответ:

\frac{1}{4}-x*2=0

-2x=-\frac{1}{4}

x=\frac{1}{4}:2

x=\frac{1}{4*2}

x=\frac{1}{8}

Просьба:

1. Поставь 5 звёзд

2. Поставь спасибо

3. И сделай лучшим ответом тому челеку который ответил первый (Я не брал у него я хорошо знаю алгебру и люблю подобные примеры).


diliyaliil13: а ты знаешь химию?
ruslannamazbaev: Плохо, очень плохо.
diliyaliil13: ???
ruslannamazbaev: Можно сказать что нет.
diliyaliil13: понятно
Вас заинтересует