• Предмет: Математика
  • Автор: seme4kaomg
  • Вопрос задан 3 года назад

100 баллов
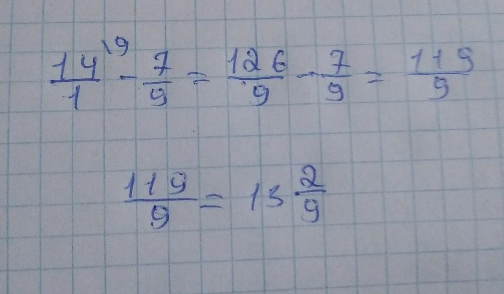
14-7/9
/- это дробь


seme4kaomg: ой
seme4kaomg: 100 баллов не поставил
seme4kaomg: простите

Ответы

Ответ дал: Аноним
2

Пошаговое объяснение:

 \frac{119}{9}  = 13.2 = 13 \frac{2}{9}

Приложения:
Вас заинтересует