• Предмет: Математика
  • Автор: buffy95
  • Вопрос задан 10 лет назад

Помогите вычислить пределы. нужно расписать подробно.

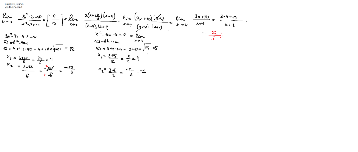
Lim(x->4) 3x^2-2x-40/x^2-3x-4

Ответы

Ответ дал: nonikya
0
сейчас решу
через минут десять скину решение
Приложения:
Вас заинтересует