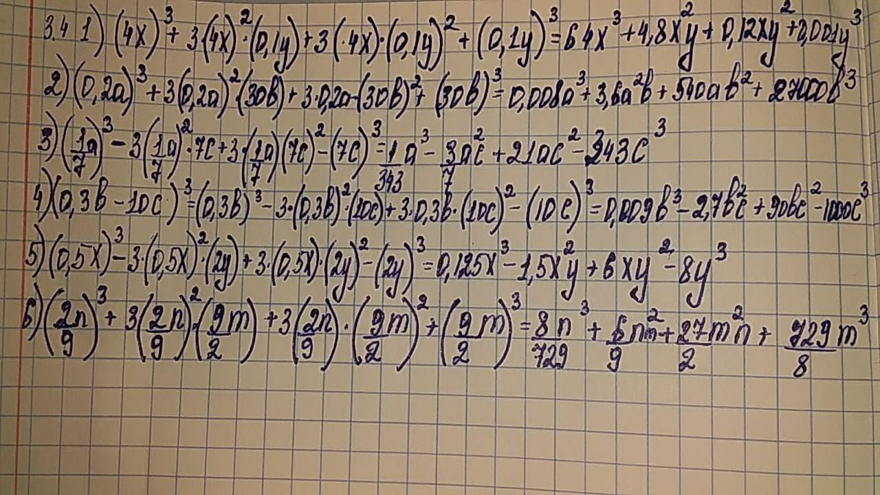
Представьте в виде многочлена.
#33.4.
2) (0,2a + 30b)^3;
3) (1/7a -7c)^3;
4) (0,3b - 10c)^3:
5) (0,5x-2y)^3;
6) (2/9n+9/2m)^3.
СДЕЛАЙТЕ ВСЁ, КРОМЕ 1
Пжжж!Срочноо!
Приложения:

Ответы
Ответ дал:
19
Ответ: На фото.
Объяснение:
Приложения:

kalkievagauharpaiger:
СПАСИБО
Вас заинтересует
2 года назад
2 года назад
2 года назад
8 лет назад
9 лет назад