• Предмет: Математика
  • Автор: mkupriyanova7750
  • Вопрос задан 3 года назад

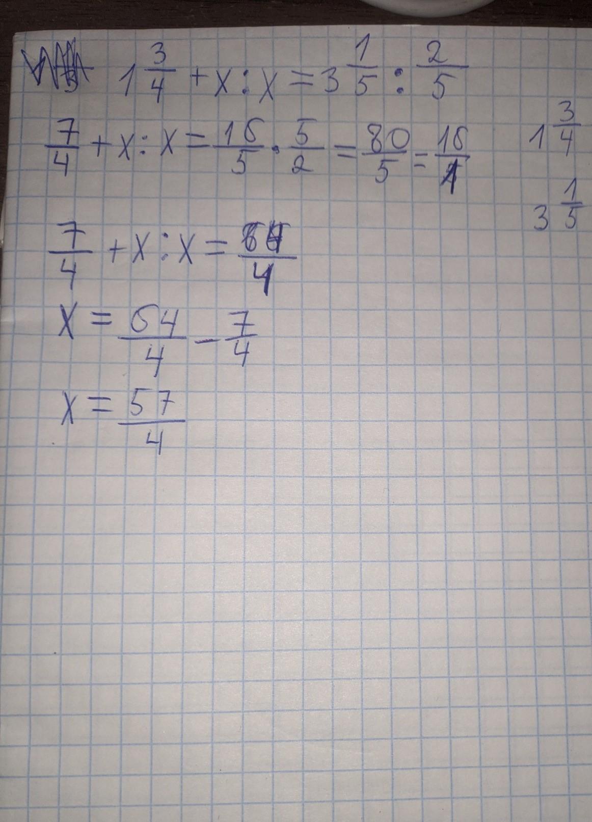
решить уравнение 1 3/4+×÷×=3 1/5÷2/5​

Ответы

Ответ дал: saidsofiya567
0

Пошаговое объяснение:

Вроде бы так. Сократить невозможно в конце

Приложения:
Вас заинтересует