• Предмет: Математика
  • Автор: Аноним
  • Вопрос задан 3 года назад

995.
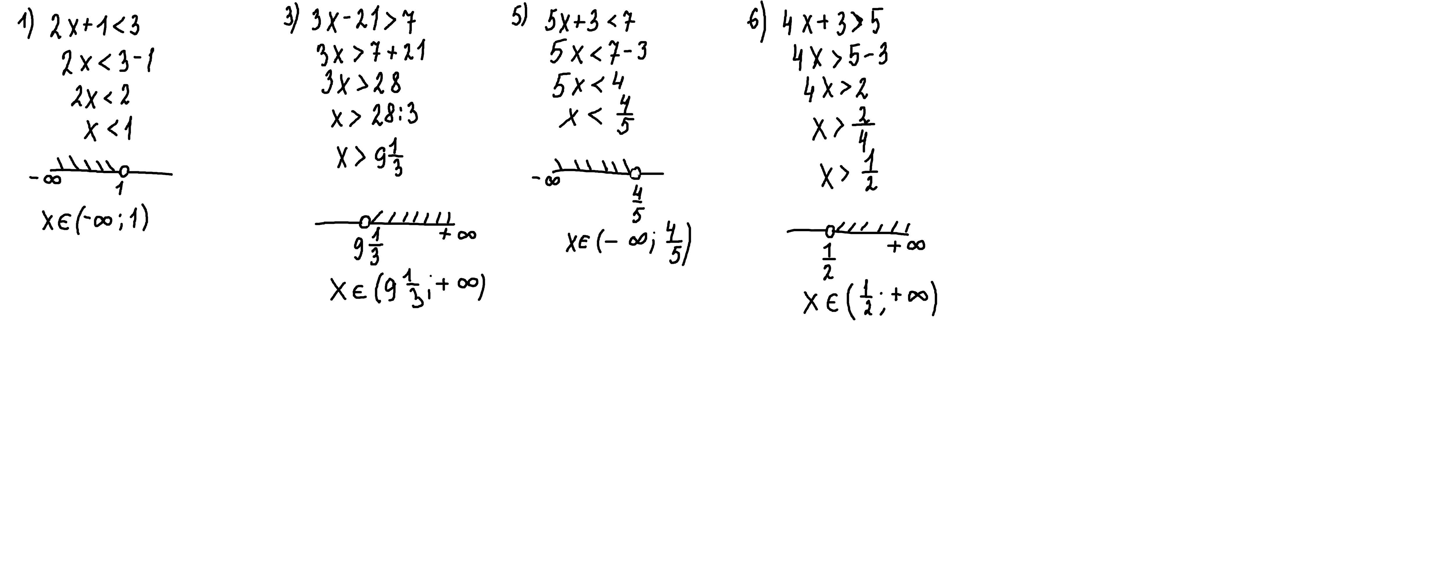
Решите неравенства:
1) (2x +1 < 3; 3) 3x - 21 > 7;
5) (5x + 3) < 7;
6) 4x + 3 > 5.
2) 1 - 2x1 < 5;
4) 4 + 3x) > 2;
СРОЧНО нужны ответы ​


6789089: в 3 номере неверно ты поставил там 2 ане 21

Ответы

Ответ дал: parus77
79

Ответ:

Пошаговое объяснение:

2 и 4 добавила

если неравенство строгое,то точка не закрашена и скобка круглая.

если неравенство нестрогое,то точка закрашена и скобка квадратная.

решением системы яв-ся промежуток,где пересекаются решение неравенств.

Приложения:

linadolenko2: 3х > 9
linadolenko2: х > 9:3
linadolenko2: х > 3
linadolenko2: Вот так правильно
v7082446049v: а где 4+3х больше или равно 2
v7082446049v: ?????
angel4834: Спасибо
vlarseny22: спс мне ток 5 надо было
Аноним: пхпхпхпх, у меня то же самое, только мне нужен был 3 номер. Но это хорошо что все примеры есть
maksim45457: не правильно там было 1) |2х+1|<7
Вас заинтересует