• Предмет: Математика
  • Автор: ibragimovaalina0920
  • Вопрос задан 3 года назад

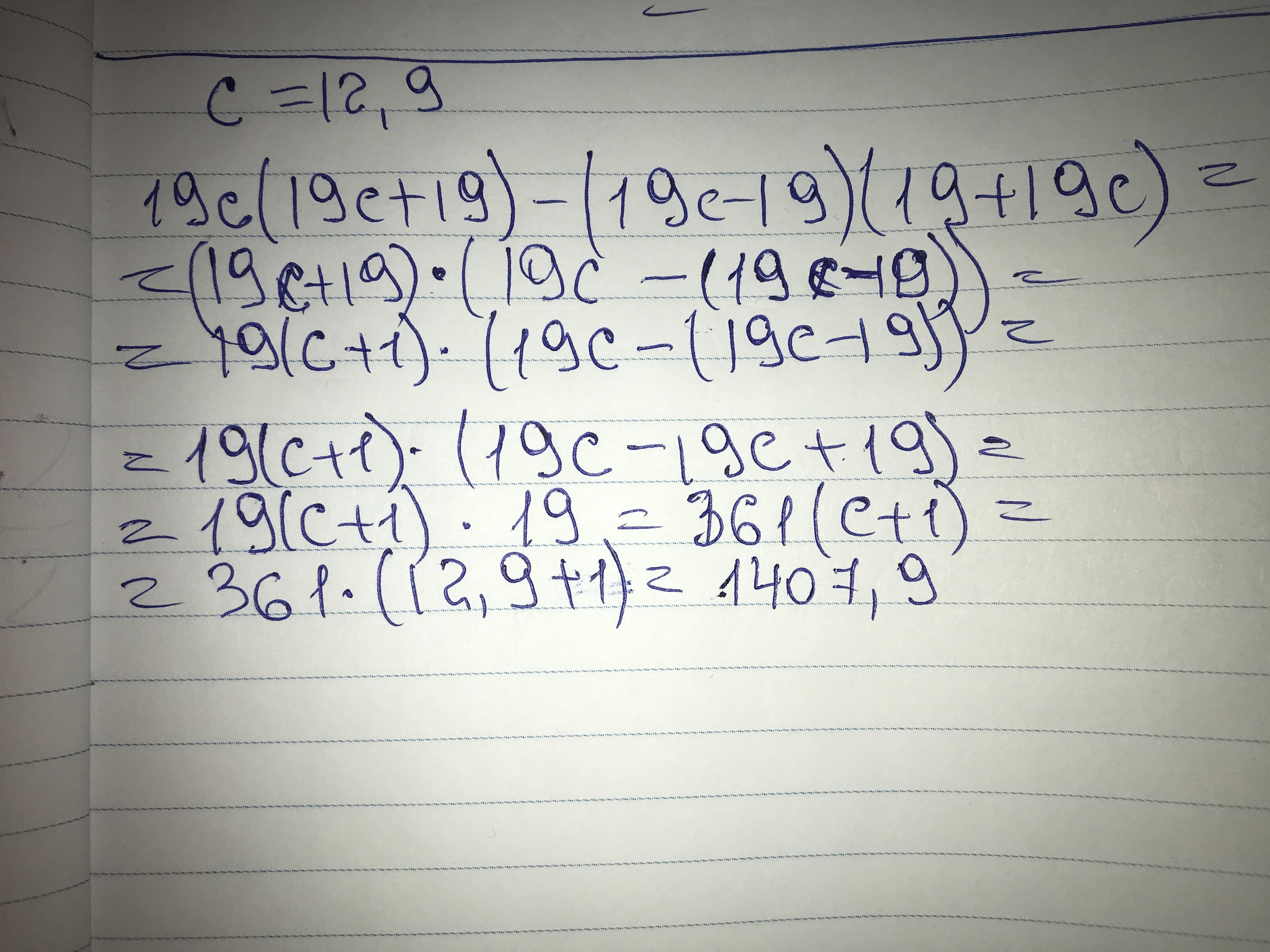
Упрости выражение и найди его значение при c=12,9.

19c(19c+19)−(19c−19)(19+19c).

Ответы

Ответ дал: dyshekovaaadelinaa
2

Ответ:

Пошаговое объяснение:

-93.1(93.1+19)+(93.1-19)(19-93,1)=-2129.9


ibragimovaalina0920: НЕВЕРНО: Чтобы сократить количество вычислений и минимизировать шанс допустить ошибку, сначала упростим выражение.
19c(19c+19)−(19c−19)(19+19c)=192c2+192c−192c2+192=361c+361.
Теперь можно подставить число.
361⋅12,9+361=4656,9+361=5017,9. Правильный ответ: 5017,9.
Ответ дал: tetana20023
1

Відповідь:

Покрокове пояснення:

Приложения:

ibragimovaalina0920: НЕВЕРНО: Чтобы сократить количество вычислений и минимизировать шанс допустить ошибку, сначала упростим выражение.
19c(19c+19)−(19c−19)(19+19c)=192c2+192c−192c2+192=361c+361.
Теперь можно подставить число.
361⋅12,9+361=4656,9+361=5017,9. Правильный ответ: 5017,9.
Вас заинтересует