• Предмет: Алгебра
  • Автор: harons656761
  • Вопрос задан 3 года назад

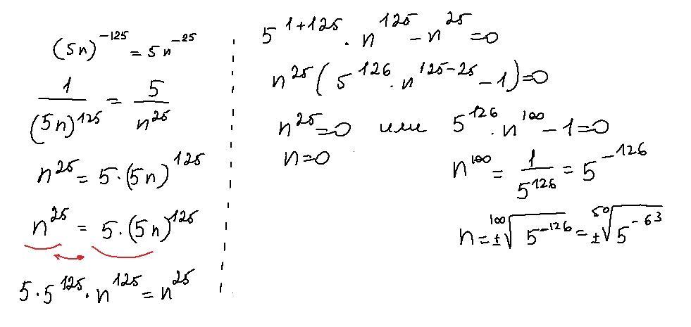
5n^-125=5•(n^-25)=?
помогите решить!!!​

Ответы

Ответ дал: tatsach
1

Ответ:

Объяснение:

=5*(n-5)(n+5)


harons656761: спасибо!!!
tatsach: Пожалуйста
harons656761: можешь еще кое-что решить?я там отправил по алгебре)
Ответ дал: linasunday777
0

Ответ:

см. решение на фото в приложении

Объяснение:

Приложения:
Вас заинтересует