• Предмет: Алгебра
  • Автор: dbelokon701
  • Вопрос задан 3 года назад

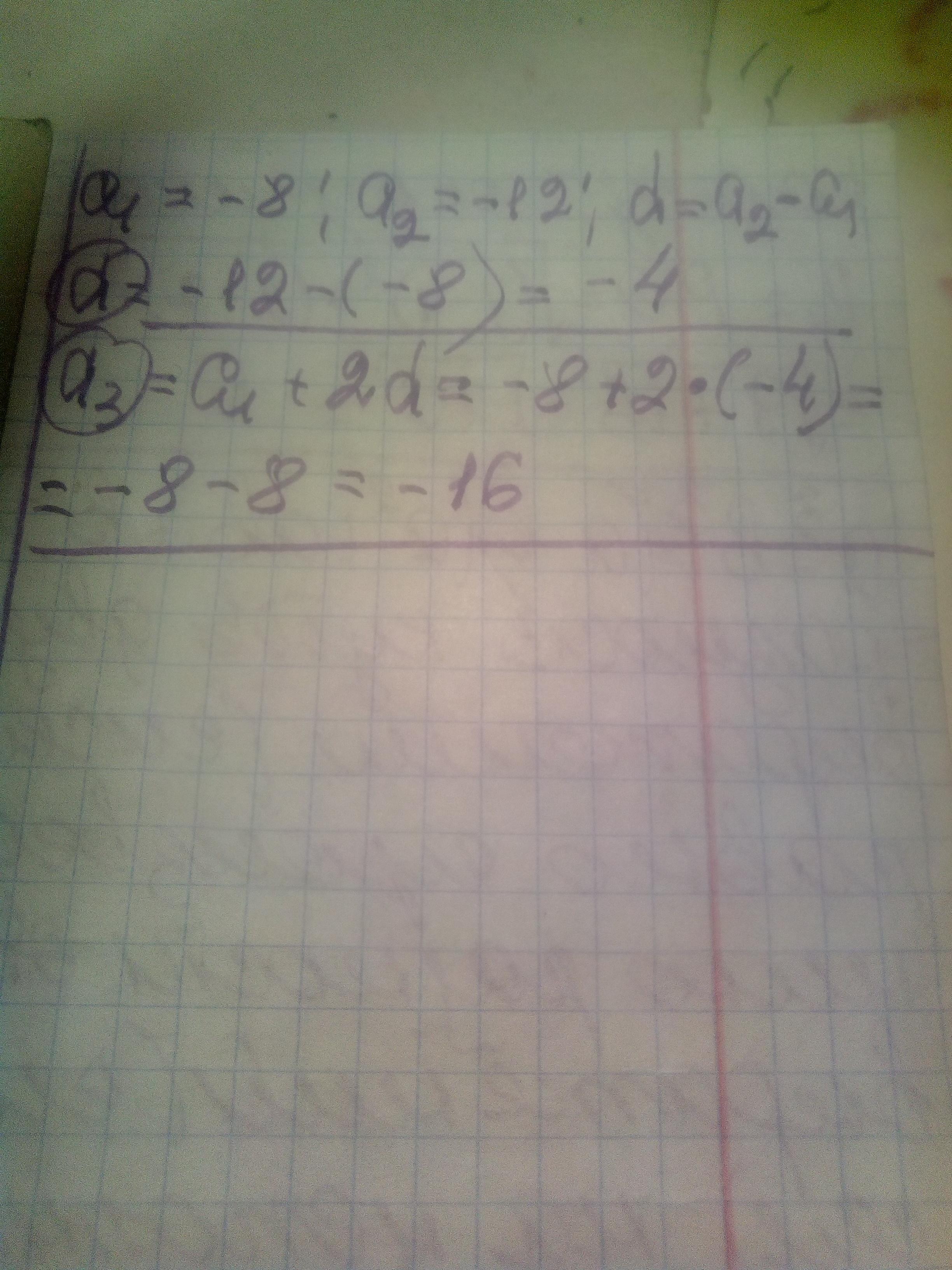
Дано арифметичну прогресію: −8;−12;....
Обчисли різницю прогресії і третій член прогресії.

d=
b3=

Ответы

Ответ дал: manyny06
2

Ответ:

решение смотри на фотографии

Объяснение:

Приложения:
Вас заинтересует