Пожалуйста помагите!!!
найдите корень уравнения
1)16х(2-х)+(4х-5)62=0
2)9y(y+6)-(3y+1)^1= -1
3)0.5(x-6)^2+2x(8-x дробь 4)=2
Ответы
Ответ дал:
0
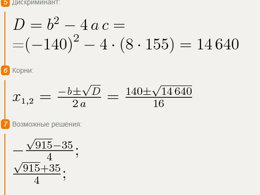
я скинула решение в виде картинки посмотри. и проверь правильно ли ты написала уравнение
Приложения:




Ответ дал:
0
ну вот и именно. второе и третье уравнение решены правильно смотри картинки
Вас заинтересует
2 года назад
8 лет назад
8 лет назад
10 лет назад
10 лет назад