Ответы
Ответ дал:
0
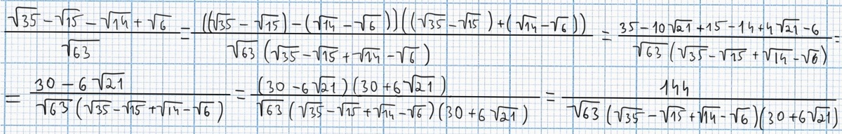
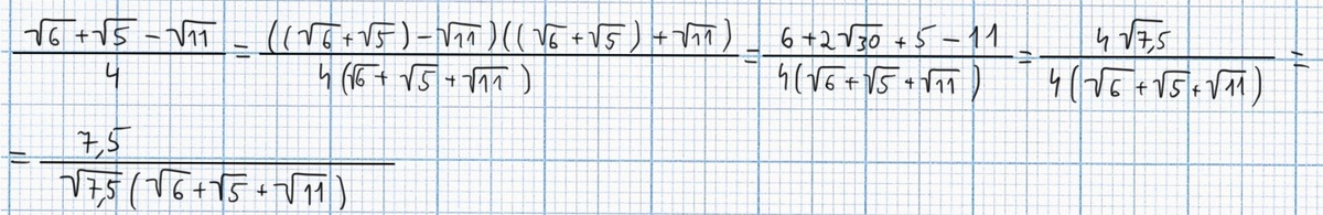
Решение на картинках.
Приложения:


Ответ дал:
0
а почему в ответах другой ответ?
Ответ дал:
0
Может по другому группировали. Задание избавиться от иррациональности - ответы разные могут быть.
Ответ дал:
0
ясно
Ответ дал:
0
поможете еще решить я новую длбавил?
Вас заинтересует
2 года назад
2 года назад
8 лет назад
10 лет назад
10 лет назад
10 лет назад