• Предмет: Алгебра
  • Автор: vascrut
  • Вопрос задан 3 года назад

Помогите срочно решить!!!!!

Приложения:

roff477: ля помогите с алгеброй 8 класс

Ответы

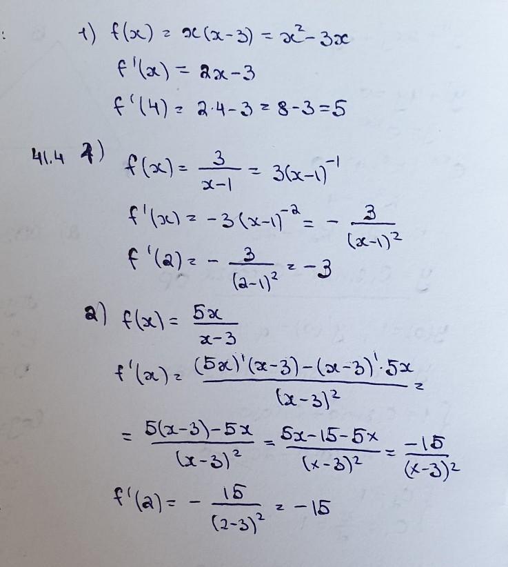
Ответ дал: Miroslava227
2

Ответ:

решение на фотографии.

Приложения:
Вас заинтересует