• Предмет: Математика
  • Автор: egorpomazkin57
  • Вопрос задан 3 года назад

это для онлайнмектеп пожалуйста помогите даю 100 баллов!!!

Приложения:

Ответы

Ответ дал: bb573878
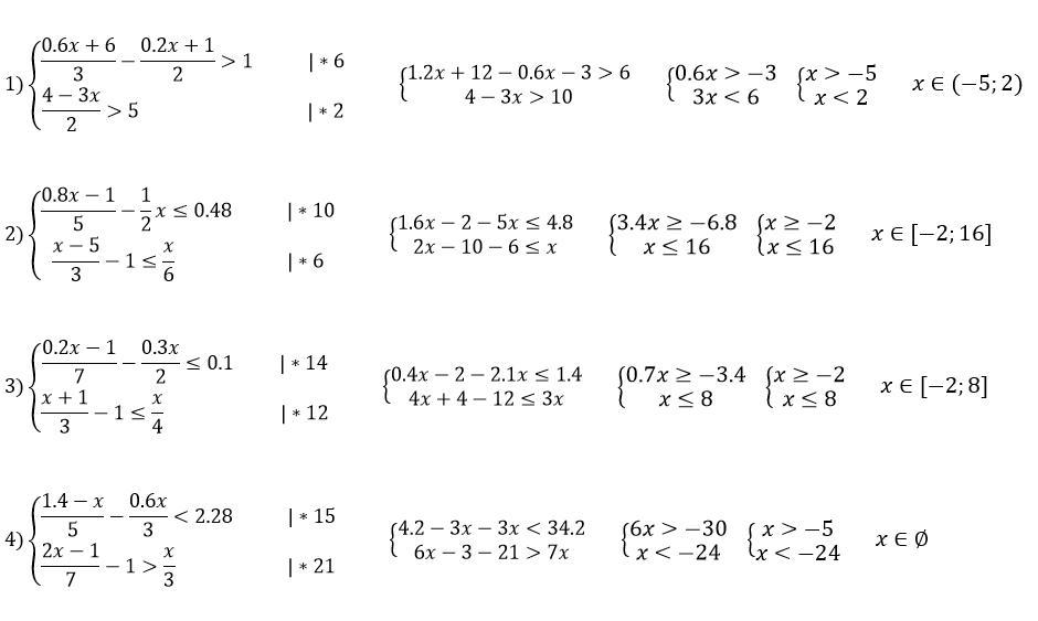
3

Ответ:

Пошаговое объяснение:

`````````````````````````````````````````````````````````````````````

Приложения:
Вас заинтересует