• Предмет: Математика
  • Автор: Аноним
  • Вопрос задан 3 года назад

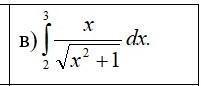
Вычислить определенный интеграл помогите 1 пример с полным решением.

Приложения:

Ответы

Ответ дал: Miroslava227
4

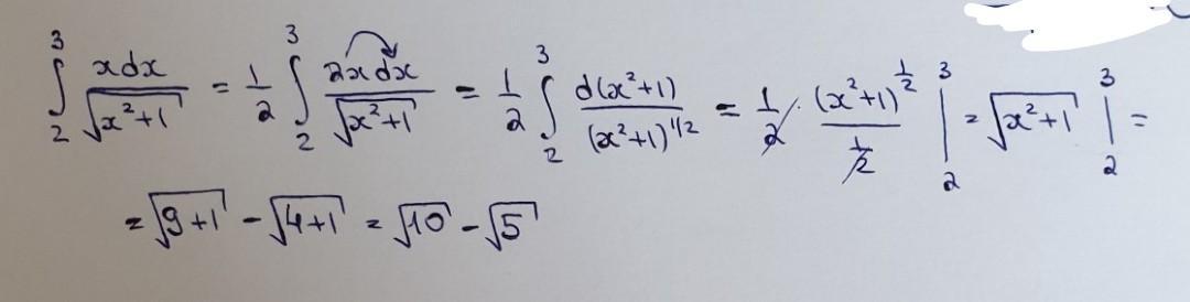
Ответ:

решение на фотографии.

Приложения:

Аноним: тупа лучшая
Вас заинтересует