• Предмет: Алгебра
  • Автор: aleforda
  • Вопрос задан 3 года назад

ПОМОГИТЕ ПЖ ДАЮ 20 баллоов

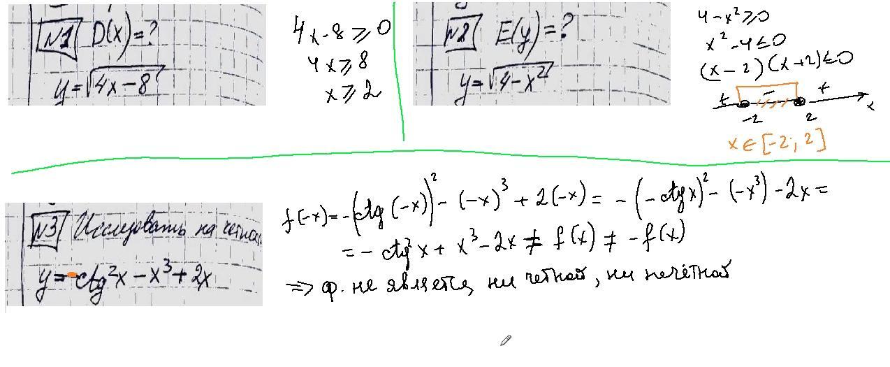
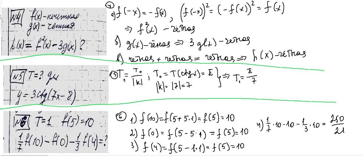
Приложения:

Ответы

Ответ дал: linasunday777
0

Ответ:

решение в прикрепленном файле

Объяснение:

Приложения:
Вас заинтересует