• Предмет: Математика
  • Автор: Bokart
  • Вопрос задан 3 года назад

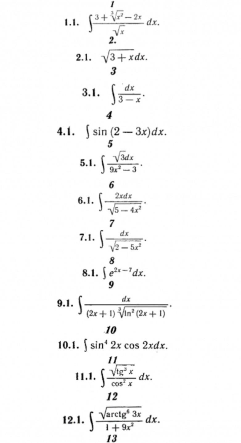
Помогите найти неопределённый интегралы!​

Приложения:

Ответы

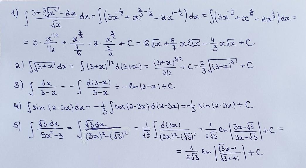
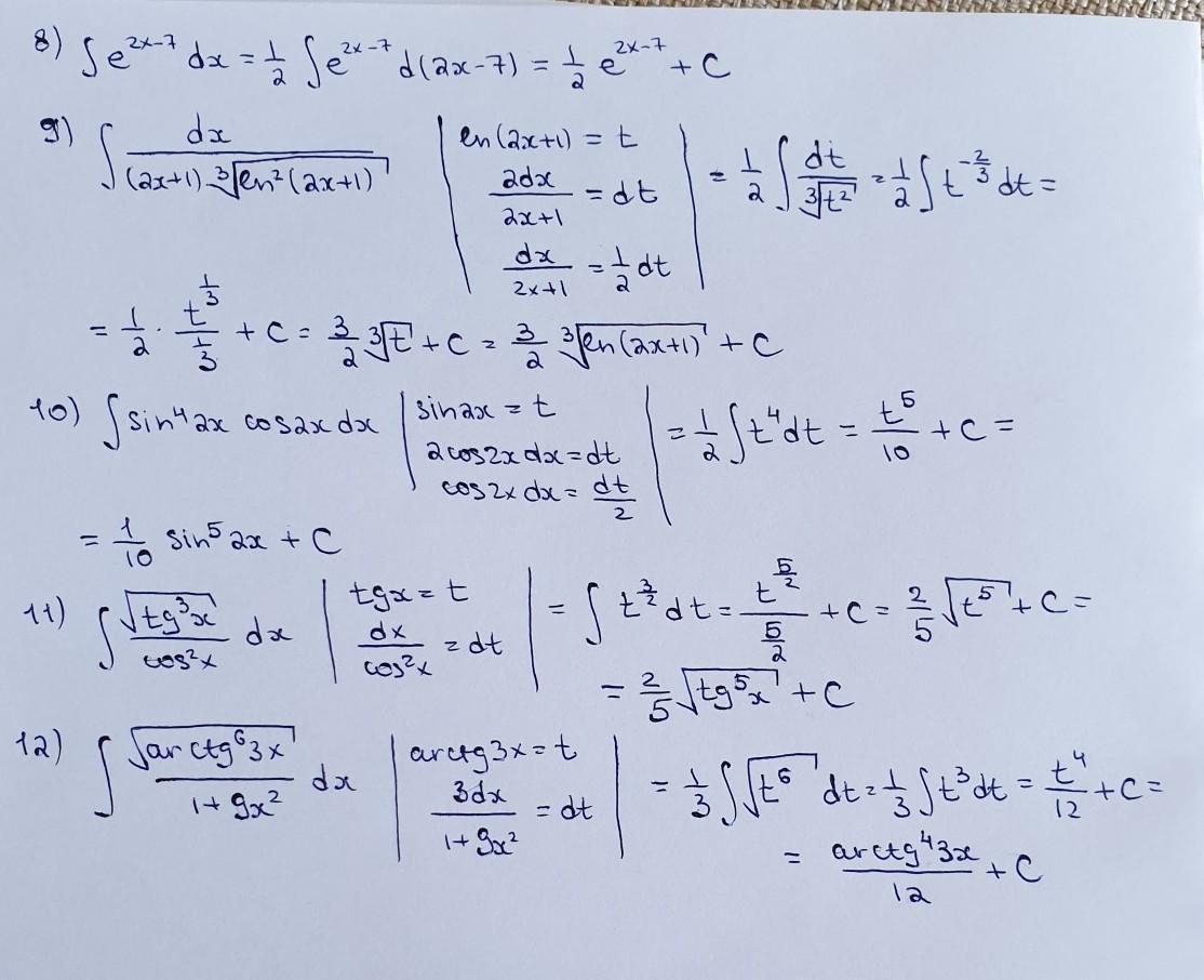
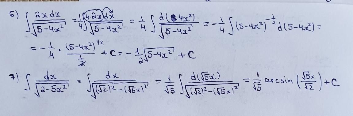
Ответ дал: Miroslava227
4

Ответ:

решение на фотографиях

Приложения:
Вас заинтересует