• Предмет: Алгебра
  • Автор: Аноним
  • Вопрос задан 3 года назад

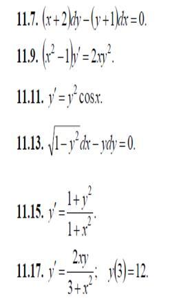
Помогите пожалуйста решить дифференциальные уравнения с разделяющимися переменными.

Приложения:

Ответы

Ответ дал: Miroslava227
2

Ответ:

решение на фотографиях

Приложения:

Аноним: Благодарю
Аноним: красивый почерк
Вас заинтересует