Помогите решить.
Желательно с подробным решением, хочу разобраться в решениее.
Заранее большое спасибо.
Приложения:

Ответы
Ответ дал:
0
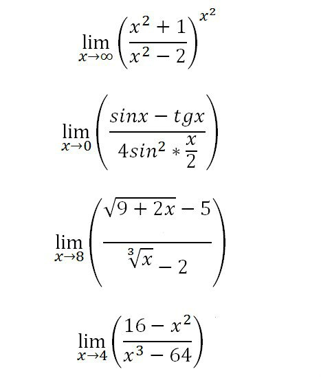
все примеры разными методами
на фото
на фото
Приложения:


Вас заинтересует
2 года назад
8 лет назад
8 лет назад
10 лет назад