• Предмет: Алгебра
  • Автор: ahadicka
  • Вопрос задан 3 года назад

Пожалуйста помогите, срочно нужно сегодня сдать. Если можно объяснение тоже
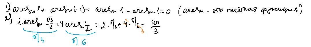
1) arcsin 1+arcsin (-1)
2) 2arcsin√3/2 + 4arcsin 1/2​

Ответы

Ответ дал: linasunday777
2

Ответ:

решение в прикрепленном файле

Объяснение:

Приложения:

ahadicka: огромное спасибо ❤️
Вас заинтересует