• Предмет: Математика
  • Автор: madiyaradabiyat
  • Вопрос задан 3 года назад

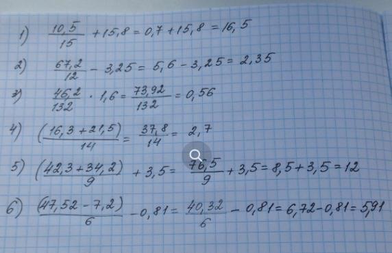
877. Выполните действия:
1) 10,5:15+1,8; 3) 46,2 : 132-1,6; 5) (42,3 + 34,2): 9+3,3
2) 67,2:12-3,25; 4) (16,3 + 21,5): 14; 6) (47,52 - 7,2): 6 -0,81,

сделайте это все в столбик​

Приложения:

Darwin26: все 6?
madiyaradabiyat: да
Darwin26: я только хотел ответить, но видимо не судьба...
madiyaradabiyat: но там чел написал о прложение но я не буду его качать
Darwin26: к сожалению, я всё равно не смогу добавить ответ, т.к. макс. кол-во ответов - 2

Ответы

Ответ дал: azumabaeva66alisha
11

Ответ:

ответы на фото(там в столбик)

Приложения:

azumabaeva66alisha: ))
azumabaeva66alisha: сорри если не правильно
azumabaeva66alisha: спс за корону
azumabaeva66alisha: (если чо я не хорошист а отличница)
ayetatarbi123: ПРавильно?
ayetatarbi123: Да или нет?
azumabaeva66alisha: правильно у меня пять
azumabaeva66alisha: мне учитель сказал правильно
Вас заинтересует