• Предмет: Алгебра
  • Автор: ahadicka
  • Вопрос задан 3 года назад

Пожалуйста помогите, срочно нужно сегодня сдать. И объяснение тоже прошу
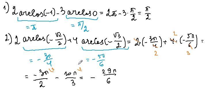
1) 2arccos(-1)- 3arccos0
2) 2arccos (-√2/2)+ 4arccos(-√3/2)​

Ответы

Ответ дал: linasunday777
2

Ответ:

решение на прикрепленном фото

Объяснение:

Приложения:

ahadicka: ты спасла меня, спасибо большое ❤️
Вас заинтересует