• Предмет: Алгебра
  • Автор: dasti735
  • Вопрос задан 3 года назад

помогите срочно пожалуйста​

Приложения:

Ответы

Ответ дал: erbolarenov2
0

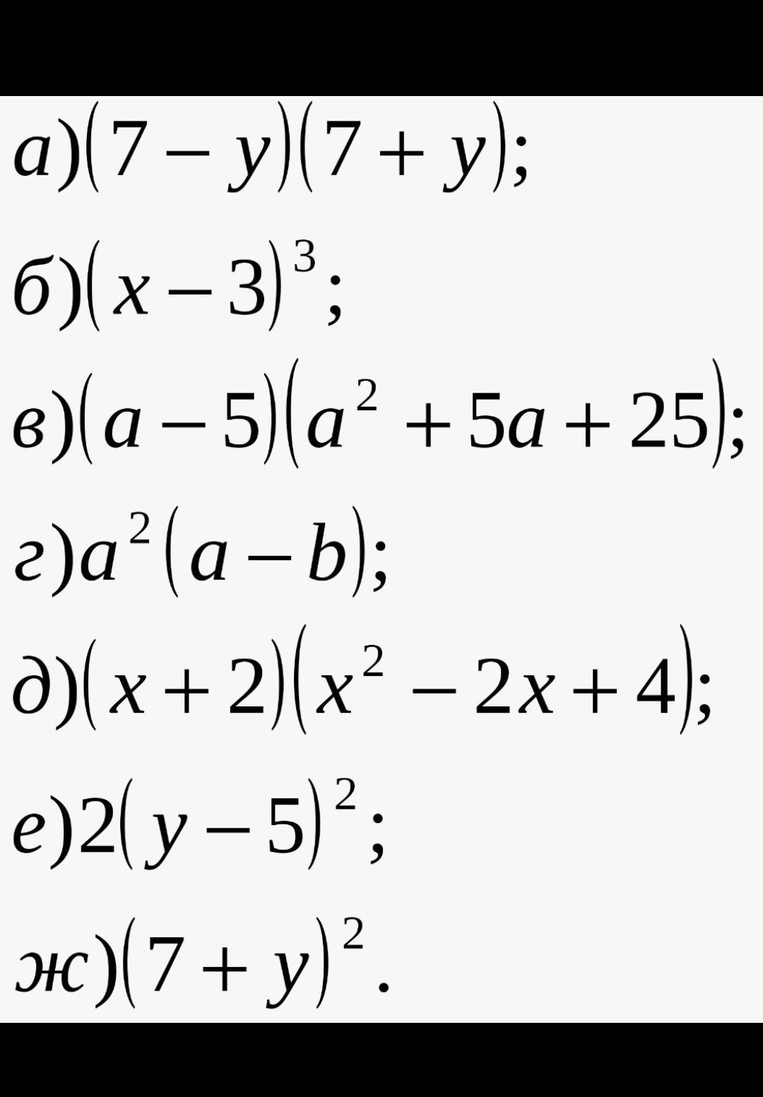
Ответ:а) 7^2-у^2

Объяснение:


dasti735: мне на все надо тупой
Ответ дал: wieslawlozickip5w1nd
0

Ответ:

Объяснение:

a)(7-y)(7+y)=49-y²

b)(x-3)³=x³-9x²+27x-27

c)(a-5)(a²+5a+25)=a³-5³=a³-125

d)a²(a-b)=a³-a²b

e)(x+2)(x²-2x+4)=x³+2³=a³+8

f)2(x-5)²=2(x²-10x+25)=2x²-20x+50

g)(7+y)²=49+14y+y²


dasti735: спасибо
Вас заинтересует