• Предмет: Математика
  • Автор: abdievaarajlym29
  • Вопрос задан 3 года назад

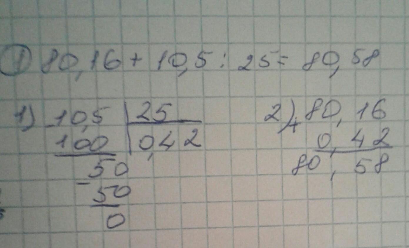
1) 80,16 + 10,5 : 25;
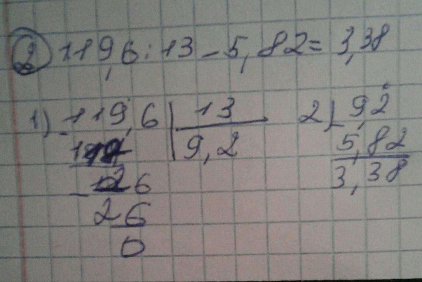
3) 119,6 : 13 - 5,82;столбиком пжж на фото плз​

Ответы

Ответ дал: Nastia291106
2

Ответ:

там где не понятная цифра, там где 2 пример в 1действии 117

Пошаговое объяснение:

можно лучший ответ

Приложения:

abdievaarajlym29: спасибо не правильно
Nastia291106: там все правильно
abdievaarajlym29: нет учитель неправильно сказал
abdievaarajlym29: мне
Вас заинтересует