• Предмет: Алгебра
  • Автор: Bunny578
  • Вопрос задан 3 года назад

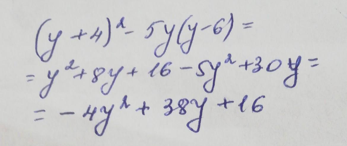
спростити вираз (y+4)²-5y(y-6)​

Ответы

Ответ дал: serovaksusa1
0

Ответ:

Смотри решение на фото

Приложения:
Вас заинтересует