• Предмет: Алгебра
  • Автор: Tiger123
  • Вопрос задан 11 лет назад

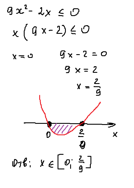
реши неравенство:  9x^2 − 2x <= 0

Ответы

Ответ дал: esmilya
0
это квадратное нестрогое неравенство.
Приложения:
Вас заинтересует