• Предмет: Алгебра
  • Автор: jilikozlova
  • Вопрос задан 3 года назад

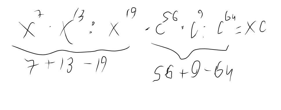
Используя правила умножения и деления степеней, упрости выражение:

x7⋅x13/x19⋅c56⋅c9/c64
срочно нужен ответ 15 б даю

Ответы

Ответ дал: prostostraus
2

Ответ:

X*C

Объяснение:

Приложения:
Вас заинтересует