• Предмет: Математика
  • Автор: and20022909andrew2
  • Вопрос задан 3 года назад

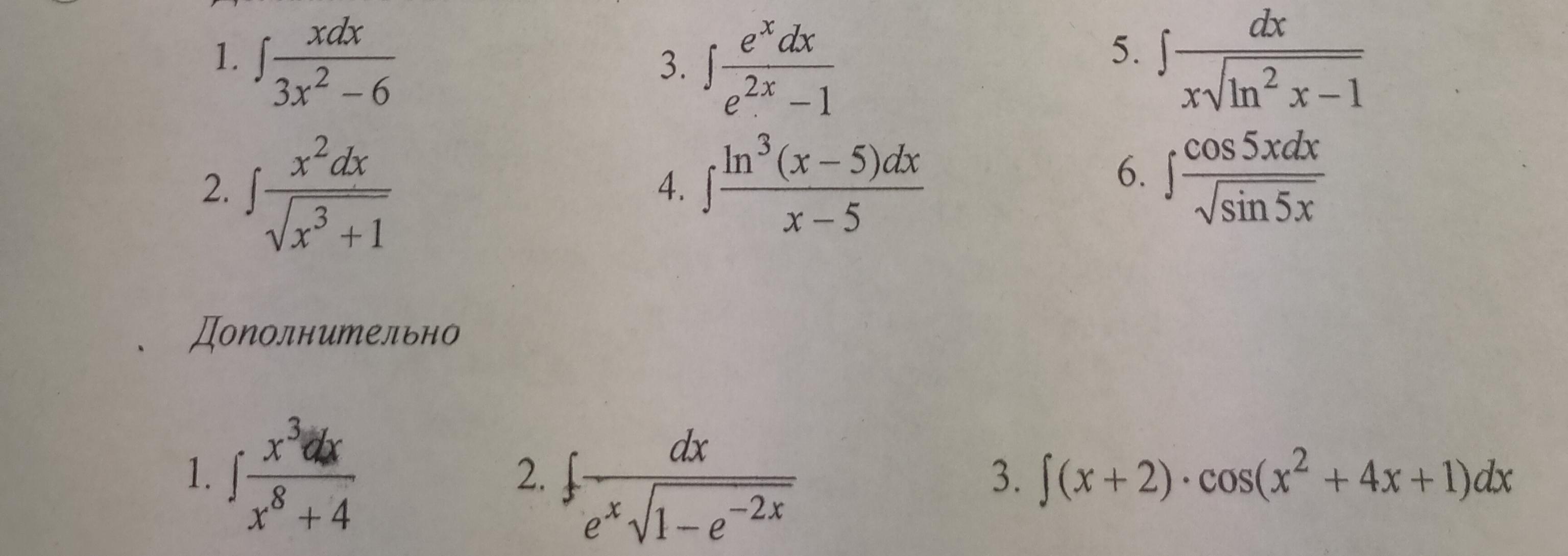
Помогите пожалуйста даю 50 баллов
Интегралы
Дополнительные не в обяз
Заранее спасибо

Приложения:

Ответы

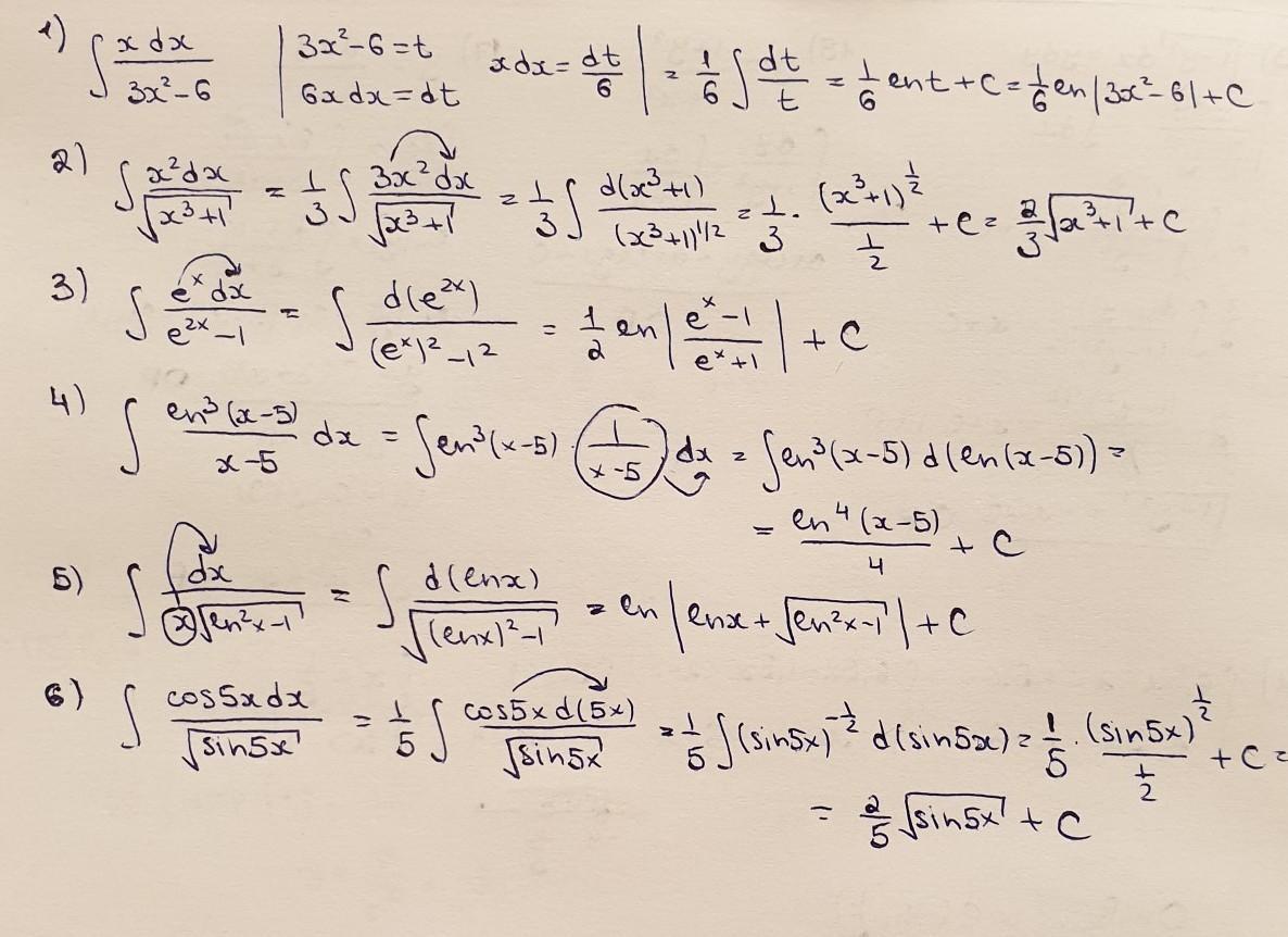
Ответ дал: Miroslava227
1

Ответ:

решение на фотографии.

Приложения:
Вас заинтересует